Covid-19 brought death, suffering and financial straits, so it was unsurprising that depression rose around the world. But when the data came in, we found suicide did not – and it’s a mystery why.
I.
When COVID started spreading, life got more depressing, people became more depressed, but suicide rates went down. Why?
First, are we sure all of that is true? I won’t waste your time listing the evidence that life got more depressing, but what about the other two?

Subscribe for $100 to receive six beautiful issues per year.
Ettman et al. conveniently had data from nationally representative surveys about how many Americans were depressed before COVID-19. They found another nationally representative sample and asked them the same questions in late March/early April 2020, when the first wave of US cases and lockdowns was at its peak. They found that 3 times as many people had at least one depression symptom, and 5–10x as many people scored in the range associated with “moderately severe” or “severe” depression.
This is a good study. It’s published in the Journal of the American Medical Association, a good journal. It’s been cited 50+ times in 6 months. Really the only thing anyone could have against it is the implausibly large effect it found. But it matches similar studies from Australia, Portugal, and around the world. Let’s say it’s real.
Along with the increased depression came an increase in people who said they were thinking about suicide. According to the US CDC, more than twice as many Americans considered suicide in spring 2020 compared to spring 2018 (10.7% vs. 4.3%).
Yet completed suicide rates stayed flat or declined. It’s hard to tell exactly which, because suicide is rare and noisy, and you need lots of data before anything starts looking statistically significant. But there are studies somewhere between “flat” and “declined” from Norway, England, Germany, Sweden, and New Zealand.
We also have two more complete reports from larger countries that help us see the pattern in more detail. First is Japan. Studies by Tanaka and Nomura broadly agree on a similar pattern—a slight decrease in suicides in the earliest stage of the pandemic (spring 2020) followed by a larger increase during the autumn. Here’s Nomura’s data:

The top graph is women, the bottom is men. The blue and red lines represent the 95% confidence range for an “average” year. Months that differ significantly from the average have little dots on top of their bars. You can see that April 2020 had significantly less suicide than average, among both genders, and July/August/September have more than average for women (and trend on the high side for men too).
Second is the US. The US Centers for Disease Control recently released their “nowcast” of 2020 deaths. These use the limited amount of data they have now to predict what the trends will look like once all the data comes in; their prediction process seems reasonable and we can probably treat the figures as canonical. Here’s their main result:

Suicide rates were pretty normal until March, when they dropped off pretty quickly and stayed low until midsummer. They’ve since hovered around normal again. Overall, suicides declined by 5.6%.
All these countries combine to form a picture of suicide rates dipping very slightly during the first and most frantic period of the pandemic—March to May—and then going back to normal (except in Japan, where things have since gotten worse). Thus the paradox: increasing depression combined with decreasing suicides. What’s going on?
II.
One avenue of attack for a problem like this is to break it up into subgroups. If the paradox holds for men but not women, then it must involve something men have but women don’t. Make enough comparisons like this and eventually you have enough clues to conclude something.
Unfortunately, few countries provide good subgroup data. Even the ones that do rarely have subgroups big enough to conclude anything with confidence. And even when we can, all the subgroups look pretty similar. The Swedes report a larger suicide decline among women than men, but it’s pretty tenuous, and no one else is seeing it.
As usual, most attention has focused on black-white differences in the US.
The big study here is by Nestadt et al., who look at suicide rates in Maryland during the crisis. They find that once COVID-19 hit, the suicide rate halved among whites, but doubled among blacks. After the first period of strict lockdown ended, both groups’ rates returned to normal. Here’s their key figure:

Ilya Kashnitsky on Twitter thinks this is misleading—it looks at a difference in rate in a way that often produces dramatic-seeming graphs (he generates some completely random ones here, which also look pretty dramatic). You can see one of the authors’ responses here. But more to the point, the black sample size was really low—the “doubling” of suicides from the previous year represents only ten extra deaths, when (for example) there was a random-noise difference of six deaths between 2017 and 2018. Also, there were slightly more black suicides in the months just before and after the crisis, so that if you look at total black suicides during 2020, it’s about the same as any other year—in fact, lower than two years ago. None of these issues affect the white data, which has a larger sample size and really do seem to show white suicides declining significantly.
But a few other sources have come in since then which sort of seem to confirm the black results. The Chicago Tribune shows rates by race in Chicago and surrounding areas:

And this study from Connecticut also finds that “while the total age-adjusted suicide mortality rate decreased by 13% during the lockdown period compared with the 5-year average, a significantly higher proportion of suicide decedents were from racial minority groups.”
Is this enough to conclude the effect is real? There could be a selective reporting bias—finding racial discrepancies looks good on a résumé, and maybe 48 states analyzed their data, found no discrepancy, and just didn’t bother reporting it. But I think that between all of these different sources we have enough to conclude that maybe something is going on. This could tell us something about our original mystery—whatever about the pandemic makes suicide rates drop must be something that has less effect, or the opposite effect, among blacks.
But this doesn’t apply to all minority groups. The figure above suggests Hispanics seem to have a suicide decrease just like whites. And New Zealand says that its own minorities, including the Maori, had the same decrease as the white population. Strange.
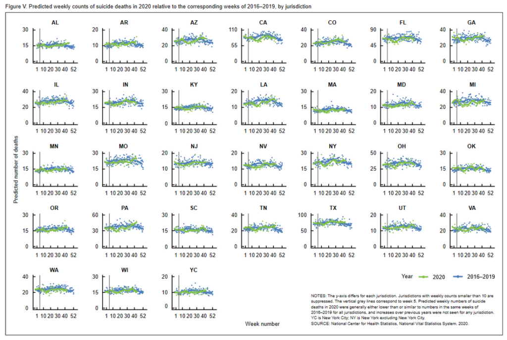
Aside from race, our best data involves the difference between US states. Here’s the CDC:

Eyeballing the graphs, the biggest drops are in Arizona, Nevada, and Florida. But none of those states are really notable for their decisive coronavirus responses or strong lockdowns (image taken from here).

And Japan’s own lockdowns were pretty weak, so whatever’s going on doesn’t rely on draconian lockdowns in particular. But most people stayed home even in places without legally mandated lockdowns, so it’s not clear how much we should conclude from this.
III.
Before we start speculating in earnest, one more thing the CDC tells us:

These are drug overdose deaths. Unlike suicides, they clearly peak during the period of highest lockdown.
There’s a thin line between a drug overdose death and a suicide. Something really terrible happens, you can’t stand the thought of dealing with it, so you take ten times your normal dose of painkiller in order to fall into a warm, pleasant sleep. At some level of misery, “but what if you take too much and never wake up?” stops feeling like a flaw in this plan. For some people, it’s a bonus—all the oblivion of suicide, with none of the guilt—after all, you weren’t trying to kill yourself, not exactly.
So it’s weird to see drug overdose deaths follow such a different trend from suicide. I’m tempted to wonder if people are misclassifying suicides as overdoses, but I don’t see any evidence of this or any reason why it would happen. I am going to leave this here as a loose end that I don’t like, but am not really sure how to return to.
IV.
What could explain these (at least temporarily) declining suicide rates?
Could it be improved government support—people feeling more confident that they could get unemployment insurance, stimulus checks, and protection from eviction? My impression is this doesn’t match the US numbers. The US suicide rate started declining around March 12, but the US government didn’t pass the CARES Act (promising substantial relief) until March 27. This isn’t a knockdown argument—the two weeks from the 12th to the 27th are short enough that they could just be noise, and some people could have been encouraged by smaller acts of relief (or the promise of larger ones on the horizon). It just doesn’t fit perfectly. Also, this explanation implies that people were financially better off with the coronavirus and relief package than they were with neither, which doesn’t really seem to match reality. Also, this is more believable in the US than it is in countries like Norway, Sweden, or Japan, which already have strong social safety nets—yet those countries experienced the decline too.
Could it be that people stopped having stressful interactions with friends, families, and coworkers? We can’t rule this out, but it makes a strange contrast with the increasing depression rate. You could suppose there are two types of negative mood, one that comes from loneliness and one that comes from stressful interactions, and only the second increases suicide. But anecdotally many people seem to be having more stressful interactions with family members who they’re now stuck inside with.
Could it be that people stopped going out to bars and raves and other places they use drugs? Since drugs and alcohol are a risk factor in many suicides, this could potentially do it. But it contradicts the increase in drug overdoses, and also, people seem to be using alcohol as much or more than before. It’s possible there are subtle variations we aren’t picking up—for example, people are drinking more total, but binge drinking less. But you have to really stretch to make this work.
Could it be that people have trouble getting the means to commit suicide? For example, maybe they would like to shoot themselves, but all the gun shops are closed? A few things point against it. Aside from guns, there are few suicide methods that really depend on anything being open. And there are some reasons to think guns in particular aren’t responsible. First of all, the dip is the same size in countries besides the USA, which have relatively few gun suicides. Second, the US has a waiting period on guns, so most gun suicides are by people who already owned the gun when they became suicidal.
The theory most people have settled on is one associated with 19th century sociologist Emile Durkheim, who claimed that people come together in a crisis. The US-based Substance Abuse And Mental Health Services Administration puts the basic insight like this:

When a disaster hits, people go into a heroic overdrive mode, abandoning their usual petty concerns to try to hold things together. As this starts to work, there’s a “honeymoon” period of “community cohesion”—what Rudy Giuliani called “the spirit of September 12”—when everyone feels good about themselves for being on the same side and working hard to overcome adversity. Then that never works, and everyone restarts their petty squabbles, plus there are piles of rubble everywhere that need long-term nonheroic cleaning up. Everyone gets depressed and disillusioned and feels worse than before, until eventually things go back to normal.
This sounds good, and it fits the suicide dip just after COVID started followed by the quick return to trend (plus some extra in Japan). It might even explain why black people didn’t see the same pattern—there may have been just a few events in American history that make blacks suspicious about whether “coming together” and “community cohesion” include them.
But is it true? Studies have had a very hard time finding evidence for it. In particular, it doesn’t seem like the September 11 attacks, memorable for the sense of community-coming-together they produced among Americans, decreased suicide—September and October 2001 saw a pretty average suicide rate in NYC (though this paper unconvincingly tries to disagree). Nor was there a noticeable decrease in suicides in America as a whole (or Germany, or the Netherlands, despite scientists apparently thinking this was worth testing). Britain came together a lot during World War II, but if anything, suicides went up. Most relevant to the current question, previous pandemics saw either no change or a slight increase in suicides.
The wonderfully-named Kairi Kolves and Keili Kolves (and Diego De Leo) have a pretty good literature review of this topic, where they find that “overall, there does not seem to be any clear direction in suicide mortality following natural disasters, as different studies show different patterns.” Some disasters were followed by a drop in suicide rates, others by a rise, still others by no change. They couldn’t really figure out a pattern in which ones rose or dropped.
Finally, there’s this paper, which I hate. It says that after Hurricane Katrina, more people reported mental illness, but:
“Suicidal ideation and plans given estimated mental illness were significantly lower in the post-Katrina survey. This lower suicidality was strongly related to two dimensions of post-traumatic personal growth (increased sense of meaning and purpose in life, realization of inner strength), without which between-survey differences in suicidality were insignificant.”
Okay, or it could be that there are two kinds of depression—the kind where you have some kind of stable predisposition to depression, and the kind where you’re upset because a hurricane just destroyed your city. Pre-Katrina, all depressed people have the first one. Post-Katrina, most depressed people have the second one. If the first one is more associated with suicidality, then the percent of depressed people who are suicidal will go down post-Katrina, and this won’t be some amazing personal growth, it’ll just be a natural result of adding an entirely new category of depressed people with different characteristics. The study never claims that the total number of suicidal people went down, and I suspect this is because it isn’t true, and mentioning that would ruin their headline result. They claim to have an analysis showing that the least suicidal people were the ones who felt they developed more inner strength, but the numbers are weird and I don’t trust it.
In retrospect, something like this must be true of COVID as well. The extra depression must have been of some type that is much less likely to end in suicide than ordinary depression. I don’t know of any existing psychological theory saying that depression caused by a major disaster is less likely to cause suicide than other depression—but you try to explain these results without them.
But the main reason I’m suspicious of the coming-together theory is that I would expect it to show up in the depression statistics. Nobody felt heroic and meaningful and post-traumatic-growth-y enough to not be depressed, so why should they feel it enough not to commit suicide?
V.
Here are some other theories that I am more sympathetic to.
First, maybe we just don’t understand the relationship between bad life circumstances, depression, and suicide at all. It’s not at all proven that happier countries have lower suicide rates than sadder ones, with Daly, Oswald, and Wu claiming the opposite is true. Black Americans, despite everything they go through, have much lower suicide rates than white Americans (but some of this may be fewer guns). Suicide rates are low during the darkest parts of winter, and highest in the spring just as the sun is coming out and the flowers are starting to bloom. This makes Daly/Oswald/Wu think that suicide is most tempting when you’re sad but everyone around you is happy; your friends’ happiness just rubs salt in your wounds—“If they can be this happy when I’m so sad, they obviously don’t need me.” When everyone else is also unhappy, depression stings a little less.
Second, one pillar of Aaron Beck’s triad of depression is “this is endless.” A sense that nothing can ever change, so why bother to wait and see? The pandemic was the opposite of that. At the beginning, everyone hoped it would be over in a few weeks. Even as it dragged out further, there was still a vaccine in sight. It didn’t have the hopelessness which is a hallmark of suicidal depression. In fact, it was—to be flippant—a change of pace. I’ve seen surprisingly many instances of depressed or anxious people, who can’t cope with everyday life, cope perfectly well with emergencies. Finally there’s something obvious and worthwhile they need to do that breaks through the fog of meaninglessness, and finally they have the motivation to try to handle it (because they could die if they don’t). But also, I’ve seen a weird number of anxiety patients who are completely calm in an emergency. Or maybe they have the same level of anxiety as usual, but it finally feels completely appropriate to the situation and so they can respond as reasonably as anyone else would, plus they have more experience with it. This is one interpretation of these findings that people with good mental health at the start of the pandemic worsened over time, but people who started with bad mental health got better (though a more responsible analyst would dismiss all of this as regression to the mean).
Third, maybe people became more worried about the effect that suicide attempts would have on their family. Part of this is increasing social closeness—people suddenly had to spend every waking moment with family members, or else bubbled together with people they had previously lived apart from. Another part is that their family members were also suffering, and depressed people decided it was unfair to ask them to bear the burden of a family member’s suicide at the same time as everything else. Or what if you just literally don’t have the personal space, out of earshot of your family, to attempt suicide without someone else noticing?
Overall I have to admit I don’t have a single satisfying explanation. On the bright side, we’ll get a lot more data soon. In a year or two, the CDC (and its international equivalents) can publish their full analysis of 2020 deaths, and we’ll learn more about suicides by age, race, gender, class, suicide method, et cetera.